✨Bộ Đề Kiểm Tra, Đánh Giá Năng Lực Toán 4 - Tập 2














Cuốn sách gồm bộ đề kiểm tra năng lực các môn. Mỗi bộ đề đều được biên soạn theo cấu trúc thống nhất bao gồm các câu hỏi trắc nghiệm và tự luận có nội dung bám sát chương trình SGK mới. Nội dung các câu hỏi mang tính phân loại cụ thể cho các đối tượng học sinh. Cuối sách là phần đáp án giúp các em so sánh với bài làm của mình và rút ra cách giải hay.




Bộ Sách Những Sự Kiện Lịch Sử Lừng Danh Thế Giới (Bộ 2 Cuốn) Napoléon Và Nước Pháp - Đế Chế Thứ Nhất Người ta cho rằng, người am hiểu lịch sử có thể trở
Lối Sống Tối Giản Của Người Nhật Lối sống tối giản là cách sống cắt giảm vật dụng xuống còn mức tối thiểu. Và cùng với cuộc sống ít đồ đạc, ta có thể
TÁC GIẢ: Eric Berne Dịch giả: Thu Nga THÔNG TIN XUẤT BẢN: Kích thước: 13x20.5 Số trang: 348 Mã EAN: 8936066695855 NXB liên kết: NXB DÂN TRÍ Sách do Công ty TNHH Văn hóa và
1. Bão giông mới là cuộc đời Chúng ta có luôn hài lòng với cuộc sống của mình không? Chư vị thánh hiền trong quá khứ dạy rằng nếu chia đời mình thành mười phần
- Mọi người đều ý thức được rằng đằng sau những động tác cơ thể và biểu cảm bình thường nhất mà chúng ta ngày nào cũng thấy, lại cất giấu một lượng lớn thông
Người Tối Giản – Hành Trình Trở Về Số 0 sẽ truyền cảm hứng cho bạn vận dụng phong cách sống tối giản và tư duy tối giản như một công cụ hữu hiệu để giải phóng
Vào cuối Chiến tranh thế giới thứ hai, Cyril Conroy bằng sự may mắn của mình cùng một khoản đầu tư khôn ngoan đã tạo nên một đế chế khổng lồ, đưa gia đình ông
Người không tầm thường là người có thể kiên trì làm cho tốt công việc cần làm mỗi ngày, cũng là người có đủ dũng cảm đứng lên, đưa ra quyết định chính xác nhất
Sách được biên soạn nhằm hỗ trợ sinh viên trong việc học tập và ôn luyện môn học về quản trị. Nội dung gồm 19 chương, mỗi chương chia thành hai phần: Phần tóm tắt:
Nội Các Trần Trọng Kim - Bản Chất, Vai Trò Và Vị Trí Lịch Sử “Nội các Trần Trọng Kim” – cuốn sách nghiên cứu một cách toàn diện, sâu sắc và cụ thể về
Combo 2 Cuốn Sách Kỹ Năng Sống Số 1: Hãy Khen Tôi Xinh Đẹp + Bạn Đẹp Nói Gì Mà Chẳng Đúng (Tặng Bookmark Happy Life) là những cuốn sách về tư duy - kỹ
Combo 2 Cuốn Sách Kỹ Năng Sống Hay Nhất Dành Cho Phái Nữ: Khí Chất Bao Nhiêu, Hạnh Phúc Bấy Nhiêu + Phụ Nữ Thông Minh Không Ở Góc Văn Phòng / Những Cuốn Sách
Combo Sách Tư Duy - Kỹ Năng Sống: Sức Mạnh Tiềm Thức (Tái Bản) + Đánh Thức Chính Mình Viễn Chinh Số Phận - (Sách Bán Chạy Nhất / Sách Được Tìm Kiếm / Tặng
Động Lực Chèo Lái Hành Vi Hãy quên đi những thứ mà bạn cho rằng mình hoàn toàn thấu hiểu về cách thức tạo động lực thúc đẩy con người trong công việc, học tập
Combo Buổi Sáng Diệu Kỳ và 30 Ngày Thay Đổi Thói Quen Buổi Sáng Diệu Kỳ Cách bạn thức dậy mỗi sáng và những thói quen buổi sáng của bạn (hoặc thiếu điều ấy) sẽ
Combo Phớt Lờ Tất Cả Và Bơ Đi Mà Sống + Thương Lượng Không Nhân Nhượng (Bộ 2 Cuốn) “Khi tôi nói ‘Bơ đi mà sống’ thì không có nghĩa là bơ tất cả mọi
Lên Mạng Cũng Là Một Nghệ Thuật Hiện nay, truyền thông xã hội đã trở thành một trong những nhân tố hàng đầu quyết định thành công hoặc thất bại của một thông điệp quảng
Tư Duy Như Một Kẻ Lập Dị Mọi người thường có xu hướng suy nghĩ và hành động theo đám đông, do vậy với những vấn đề quan trọng, chúng ta thường phải hỏi xin
Phớt Lờ Tất Cả Và Bơ Đi Mà Sống “Khi tôi nói ‘Bơ đi mà sống’ thì không có nghĩa là bơ tất cả mọi người, mọi lúc, và mãi mãi. Không, ý kiến phản
Đọc vị bất kỳ aiBộ gồm 2 quyển:1.Đọc Vị Bất Kỳ Ai - Áp Dụng Trong Doanh Nghiệp2.Đọc Vị Bất Kỳ Ai - Để Không Bị Lừa Dối Và Lợi DụngBạn băn khoăn không biết
1. Dám hạnh phúc Triết gia Ai cũng có thể hạnh phúc ngay từ giây phút này. Chỉ có điều, chúng ta không thể hưởng thụ hạnh phúc nếu chỉ đứng yên tại chỗ. Cần
Combo 2 cuốn sách: Tony Buzan - Tập 1: Bộ Não Tí Hon Cái Nôi Của Thiên Tài + Tony Buzan - Tập 2: Bộ Não Tí Hon Thay Đổi Thế Giới (Tái Bản 2020)
Nhật Bản Đến Và Yêu Bạn hoang mang vì không biết học tiếng Nhật thế nào? Bạn hoang mang vì không biết tìm việc làm ở Nhật ra sao? Bạn hoang mang làm thế nào
Vũ Điệu Của Thần Chết Vũ điệu của Thần Chết là sự trở lại đầy ấn tượng của nhà hình sự học lừng danh Lincoln Rhyme cùng nữ cảnh sát xinh đẹp Amelia Sachs và
Combo Tâm Tĩnh Lặng - Bước Chậm Lại Để Thành Công + Đơn Giản Hóa Cuộc Sống Của Bạn (2 Cuốn) Tâm tĩnh lặng là chìa khóa đưa bạn đến thành công! Tâm tĩnh lặng
Combo Sức Mạnh Tiềm Thức + Đắc Nhân Tâm ------------ Từ ngày ấy, Đắc Nhân Tâm trở thành cuốn sách không-chịu-nằm-yên-trên-kệ. Ngoài ý được tái bản liên tục ở khắp nơi trên thế giới,
Cân Bằng Cảm Xúc Cả Lúc Bão Giông Một ngày, chúng ta có khoảng 16 tiếng tiếp xúc với con người, công việc, các nguồn thông tin từ mạng xã hội, loa đài báo giấy…
Combo Sách Tư Duy Kỹ Năng Sống Hay : Mới Hơn Hai Mươi Tuổi Đừng Sống Hết Cuộc Đời + Thói Quen Thức Dậy Của Người Thành Đạt ( Tặng Kèm Postcark Greenlife ) Nội
Combo Kỹ Năng, Bí Kíp Tạo Dựng Phong Cách Sống Khoa Học: Sống Đơn Giản Cho Mình Thanh Thản + Chúng Ta Quyết Định Như Thế Nào? (How We Decide) - Tặng Kèm Bookmark Green
Người thợ mộc lạ lùng là một câu chuyện vô cùng cảm động của Jon Gordon kể về người thợ mộc, J.Emmanuel, một người giản dị, niềm nở và đầy tâm huyết. Câu chuyện bắt đầu như
Combo 2 Cuốn Sách Kỹ Năng Sống Hay Dành Cho Phái Nữ: Bạn Đắt Giá Bao Nhiêu? + Phụ Nữ Thông Minh Không Ở Góc Văn Phòng (Tái Bản 2019) / Những Cuốn Sách Kỹ
- Có rất nhiều người hỏi: “Tại sao em có thành tích tốt, cũng không lười, nhưng vẫn không đủ xuất sắc?” Bạn vẫn chưa thực sự thay đổi bản thân nhưng lại ép mình
Combo Tư Duy - Kỹ Năng Sống : Nóng Giận Là Bản Năng Tĩnh Lặng Là Bản Lĩnh + Nói Thế Nào Để Được Chào Đón Làm Thế nào Để Được Ghi Nhận ( Combo
999 Lá Thư Gửi Cho Chính Mình - Mong Bạn Trở Thành Phiên Bản Hạnh Phúc Nhất (Phần 2) “999 lá thư gửi cho chính mình” là một tác phẩm đặc biệt đầy cảm hứng
Combo Nhà giả kim + Chuyện con mèo dạy hải âu bay + Hoàng Tử bé - Tặng kèm bookmark PĐ 1. Nhà giả kim Tất cả những trải nghiệm trong chuyến phiêu du theo
Cách mạng Tháng Tám, rồi hai cuộc kháng chiến chống Pháp và chống Mỹ kéo dài trên 30 năm, cho đến năm 1975 rồi trước năm 1980, ngót 40 năm; Cả dân tộc và nền
Tổng Tập Đề Thi Olympic 30 Tháng 4 Môn Tiếng Anh Lớp 10 (Từ Năm 2014 Đến Năm 2018) Kì thi Olympic 30 tháng 4 do Sở Giáo dục và Đào tạo, Trường Trung học
- Cuốn sách này sẽ cho bạn thấy cần làm thế nào để tiếp tục quá trình học hỏi ở một cấp độ cao hơn. Nó sẽ chỉ ra những chiến lược không bao giờ
Combo sách hay dành cho tuổi trẻ : Không tự khinh bỉ không tự phí hoài + Đừng lựa chọn an nhàn khi còn trẻ - Tặng kèm Postcard HAPPY LIFE Hai cuốn sách là
Bạn có biết: - Các thủ khoa hiếm khi trở thành triệu phú, và nhược điểm lớn nhất có khi lại là ưu điểm tuyệt vời nhất mà ai ai cũng khao khát sở hữu.
[TẶNG KÈM BOOKMARK NGẪU NHIÊN CHO MỌI ĐƠN HÀNG] /// THẾ KỶ CÔ ĐƠN: XÍCH LẠI GẦN NHAU TRONG MỘT THẾ GIỚI NGÀY CÀNG XA CÁCH Tác giả: Noreena Hertz Dịch giả: Mai Chí Trung Khổ sách: 13x20,5cm
Sống Đơn Giản Cho Mình Thanh Thản Sống đơn giản là sống như thế nào? Để có một cuộc sống đơn giản thì phải như thế nào? Nó không đơn giản như việc sắp xếp,
COMBO SÁCH: BÍ QUYẾT THÀNH CÔNG TRONG CUỘC SỐNG Mã sản phẩm: 89361689 Tác giả : NXB: Minh Long tổng hợp Năm xuất bản : 2018 Số trang : Bộ 3 cuốn Khối

Sách - Da Thịt Trong Cuộc Chơi Một công trình mới đầy táo bạo từ tác giả Thiên Nga Đen, thách thức những quan điểm truyền thống của chúng ta về rủi ro và phần
Năm học 2022-2023 là năm học đầu tiên áp dụng giảng dạy môn Khoa học tự nhiên 6 theo chương trình giáo dục phổ thông 2018. Đây là môn học tích hợp các lĩnh vực
Làm Thế Nào Để Kết Giao Với Người Lạ Đôi khi thứ cản trở bạn giao tiếp với người khác không phải là ngoại hình hay cách ăn mặc không phù hợp của bạn, mà
Phương Pháp Đọc Sách Hiệu Quả Đọc sách như một nghệ thuật, ngay từ lần xuất bản đầu tiên năm 1940, đã được đánh giá là cuốn sách hướng dẫn đọc hiểu lý thú và
Kỹ Năng Học Tập Thành Công Ở Bậc Cao Đẳng, Đại Học Tập 2 Tập 2: Những kỹ năng học thuật. Ở tập này tác giả chia sẻ về những kỹ năng học tập cần
Luật Trí Não (Tái Bản 2018) Tất cả chúng ta đều muốn biết điều gì thực sự xảy ra bên trong bộ não của mình. Các nhà khoa học về trí não đã phát hiện
90 - 20 - 30 - 90 Bài Học Vỡ Lòng Về Ý Tưởng Và Câu Chữ NGÀNH QUẢNG CÁO QUÁ MAY MẮN. Lúc nào cũng lung linh trong mắt các bạn trẻ yêu sáng
Combo Cẩm Nang Sống Đắt Gía: Ngày Xưa Có Một Con Bò + Bạn Đỡ Ngu Ngơ Rồi Đấy (Bộ Sách Giúp Bạn Chế Ngự Đám Đông Và Tạo Bước Đột Phá Mới Trong Cuộc
The Artist's Way: Đánh Thức Bản Ngã Nghệ Sĩ (*** Sách Bản Quyền ***) Công Ty Phát Hành: Alpha Books ------------ GIỚI THIỆU TÁC PHẨM The Artist's Way: Đánh Thức Bản Ngã Nghệ Sĩ (*** Sách Bản Quyền ***)
Sách - Da thịt trong cuộc chơi ------------
Refresh! 20 Ngày Làm Mới Bản Thân ------------ Đầu tiên, cuốn sách được ví như là một món quà tri ân mà tác giả muốn gửi đến những con người Việt Nam thân thiện
Scrum là một khung làm việc trong đó con người có thể xác định các vấn đề thích nghi phức hợp, trong khi vẫn giữ được năng suất và sáng tạo để chuyển giao các
Combo 2 cuốn sách tư duy - kĩ năng sống hay: Thả Trôi Phiền Muộn + Nóng Giận Là Bản Năng , Tĩnh Lặng Là Bản Lĩnh/ Những lời tâm sự nhân sinh học cách
Combo Đọc Vị Bất Kỳ Ai + Kỹ Năng Bán Hàng Tuyệt Đỉnh (Bộ 2 Cuốn) Kỹ năng bán hàng tuyệt đỉnh sẽ cho bạn đọc biết được những quy tắc bán hàng, vốn là
Mã hàng 8935251412642 Công ty phát hành Alpha Books Tác giả Robert Kurson Người Dịch Nguyễn Bình Thành - Thới Ngọc Tuấn Nhà Xuất Bản NXB Thế Giới Năm Xuất Bản 2021 Trọng lượng (gr)
Loonshots: Từ Lạc Loài Đến Lẫy Lừng - Bản Quyền ------------ Trong cuốn sách này, tác giả sẽ cho bạn thấy khoa học về sự chuyển pha đã gợi ra một cách tư duy mới
Không Giới Hạn
👁️ 41 | ⌚2025-10-07 18:11:29.853
TOÁN LỚP 4 - BỘ ĐỀ KIỂM TRA ĐÁNH GIÁ NĂNG LỰC - tập 2 - Đề 32 phần 1 Trắc Nghiệm trang 33
TOÁN LỚP 4 - BỘ ĐỀ KIỂM TRA ĐÁNH GIÁ NĂNG LỰC - tập 2 - Đề 34 phần 2 Tự Luận trang 38 | THẦY PHÚC
BỘ ĐỀ KIỂM TRA ĐÁNH GIÁ NĂNG LỰC TOÁN 4 - ĐỀ SỐ 1 - ÔN TẬP CÁC SỐ ĐẾN 100000 BIỂU THỨC CÓ CHỨA 1 CHỮ
TOÁN LỚP 4 - BỘ ĐỀ KIỂM TRA ĐÁNH GIÁ NĂNG LỰC - tập 2 Đề 34 phần 1 Trắc Nghiệm trang 37 | THẦY PHÚC
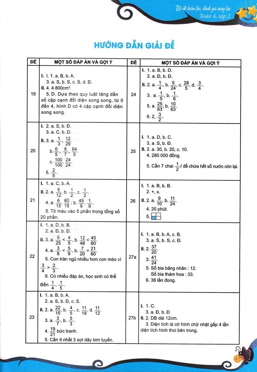
TOÁN LỚP 4 - BỘ ĐỀ KIỂM TRA, ĐÁNH GIÁ NĂNG LỰC - tập 2 Đề 20 trang 7 - 8 | THẦY PHÚC
TOÁN LỚP 4 - BỘ ĐỀ KIỂM TRA, ĐÁNH GIÁ NĂNG LỰC - tập 2 - đề 19 trang 5 - 6 | THẦY PHÚC

TOÁN LỚP 4 - BỘ ĐỀ KIỂM TRA ĐÁNH GIÁ NĂNG LỰC - tập 2 - Đề 32 phần 1 Trắc Nghiệm trang 33
TOÁN LỚP 4 - BỘ ĐỀ KIỂM TRA ĐÁNH GIÁ NĂNG LỰC - tập 2 - Đề 34 phần 2 Tự Luận trang 38 | THẦY PHÚC
BỘ ĐỀ KIỂM TRA ĐÁNH GIÁ NĂNG LỰC TOÁN 4 - ĐỀ SỐ 1 - ÔN TẬP CÁC SỐ ĐẾN 100000 BIỂU THỨC CÓ CHỨA 1 CHỮ
TOÁN LỚP 4 - BỘ ĐỀ KIỂM TRA ĐÁNH GIÁ NĂNG LỰC - tập 2 Đề 34 phần 1 Trắc Nghiệm trang 37 | THẦY PHÚC
TOÁN LỚP 4 - BỘ ĐỀ KIỂM TRA, ĐÁNH GIÁ NĂNG LỰC - tập 2 Đề 20 trang 7 - 8 | THẦY PHÚC
TOÁN LỚP 4 - BỘ ĐỀ KIỂM TRA, ĐÁNH GIÁ NĂNG LỰC - tập 2 - đề 19 trang 5 - 6 | THẦY PHÚC

Model: D LN12L 90x195/10W Điện áp: 220 V/50 Hz Nhiệt độ màu: 6500K/4000K/3000K tương ứng: Ánh sáng trắng ban ngày / sáng trung tính / sáng vàng Quang thông: 1000/900 lm Kích thước (LxWxH): (195x90x60)mm
Công ty Học Liệu Sư Phạm giới thiệu: Tác giả: Khái Hưng Giá bìa: 135.000 ₫ NXB: NXB Văn Học Phát hành: Học liệu Năm xuất bản: 2022(ISBN: 9786049991233)(Mã sách: 8935236429405) Dạng bìa: bìa mềm
CHÚNG TÔI CAM KẾT KHÁCH HÀNG NHẬN HÀNG ĐƯỢC ĐẢM BẢO HÀNG Y HÌNH Về sản phẩm: Toàn sản phẩm đều được chụp ảnnh thật, video thật, shop cam kết đúng màu đúng hình Về
CHÚNG TÔI CAM KẾT KHÁCH HÀNG NHẬN HÀNG ĐƯỢC ĐẢM BẢO HÀNG Y HÌNH Về sản phẩm: Toàn sản phẩm đều được chụp ảnnh thật, video thật, shop cam kết đúng màu đúng hình Về
Áo Thun Có Cổ Cá Sấu 4 Chiều (Áo Phông) Trơn Size Áo: S, M ,L, XL,XXL,XXXL Form Xuông Nên Dùng Chung Cho Cả Nam Và Nữ, Dựa Vào Số Đo Chiều Cao cân nặng
Áo Thun Có Cổ Cá Sấu 4 Chiều (Áo Phông) Trơn Size Áo: S, M ,L, XL,XXL,XXXL Form Xuông Nên Dùng Chung Cho Cả Nam Và Nữ, Dựa Vào Số Đo Chiều Cao cân nặng
Áo Thun Có Cổ Cá Sấu 4 Chiều (Áo Phông) Trơn Size Áo: S, M ,L, XL,XXL,XXXL Form Xuông Nên Dùng Chung Cho Cả Nam Và Nữ, Dựa Vào Số Đo Chiều Cao cân nặng
Áo Thun Có Cổ Cá Sấu 4 Chiều (Áo Phông) Trơn Size Áo: S, M ,L, XL,XXL,XXXL Form Xuông Nên Dùng Chung Cho Cả Nam Và Nữ, Dựa Vào Số Đo Chiều Cao cân nặng
Áo Thun Có Cổ Cá Sấu 4 Chiều (Áo Phông) Trơn Size Áo: S, M ,L, XL,XXL,XXXL Form Xuông Nên Dùng Chung Cho Cả Nam Và Nữ, Dựa Vào Số Đo Chiều Cao cân nặng
Áo Thun Có Cổ Cá Sấu 4 Chiều (Áo Phông) Trơn Size Áo: S, M ,L, XL,XXL,XXXL Form Xuông Nên Dùng Chung Cho Cả Nam Và Nữ, Dựa Vào Số Đo Chiều Cao cân nặng
Áo Thun Có Cổ Cá Sấu 4 Chiều (Áo Phông) Trơn Size Áo: S, M ,L, XL,XXL,XXXL Form Xuông Nên Dùng Chung Cho Cả Nam Và Nữ, Dựa Vào Số Đo Chiều Cao cân nặng
Áo Thun Có Cổ Cá Sấu 4 Chiều (Áo Phông) Trơn Size Áo: S, M ,L, XL,XXL,XXXL Form Xuông Nên Dùng Chung Cho Cả Nam Và Nữ, Dựa Vào Số Đo Chiều Cao cân nặng
Áo Thun Có Cổ Cá Sấu 4 Chiều (Áo Phông) Trơn Size Áo: S, M ,L, XL,XXL,XXXL Form Xuông Nên Dùng Chung Cho Cả Nam Và Nữ, Dựa Vào Số Đo Chiều Cao cân nặng
DẦU OLIU ORGANIC CHO BÉ MONINI (ITALY) An toàn, tiện lợi: Dầu Oliu Organic Cho Bé Monini 250ml được đóng chai thủy tinh
BAO BÌ THAY ĐỔI THEO TỪNG ĐỢT NHẬP HÀNG CÔNG DỤNG: Dầu gội Sunsilk Mềm Mượt Diệu Kỳ 900g Hệ dưỡng chất kết hợp Activ-Infusion chức các nguyên liệu được biết đến với tính năng
MUTIL-PURPOSE SPRAY ADHESIVE | HÀNG CHÍNH HÃNG KEO XỊT ĐA NĂNG SS 88 - Chai phun keo dán, loại keo dán đa năng, có độ hoàn hảo cao, thích hợp dùng trong phòng tranh, họa
Đặc điểm nổi bật: - Tương thích với điện thoại Iphone 11, 11 Pro, 11 Pro Max, iPhone XS - Tương thihcs với điện thoại Android > 3.5 inches - Tương thích với Ipad,
Bóng đèn LED BULB Trụ nhôm đúc 30W Model: TR100NĐ2/30W.H Công suất: 30W Điện áp: 220V/50Hz Quang thông: 2850 lm Nhiệt độ màu: 6500K Tuổi thọ: 30.000 giờ Chỉ số hoàn màu: 83 Điện năng
Dụng cụ xay hạt tiêu và gia vị chạy pin, dung tích 140ml GB-5089 - Chất liệu: thép không gỉ 201, ABS, Acrylic, lõi Mài gốm - Kích thước: 62X202 mm - Trọng lượng: 302g -
Nhà Phát Hành : Saigonbooks Tác giả : Daniel Goleman & Cary Cherniss Nhà Xuất Bản : Nhà Xuất Bản Thế Giới Năm Xuất Bản: 2025 Số trag: 324 ĐI TÌM VÙNG TỐI ƯU