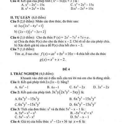
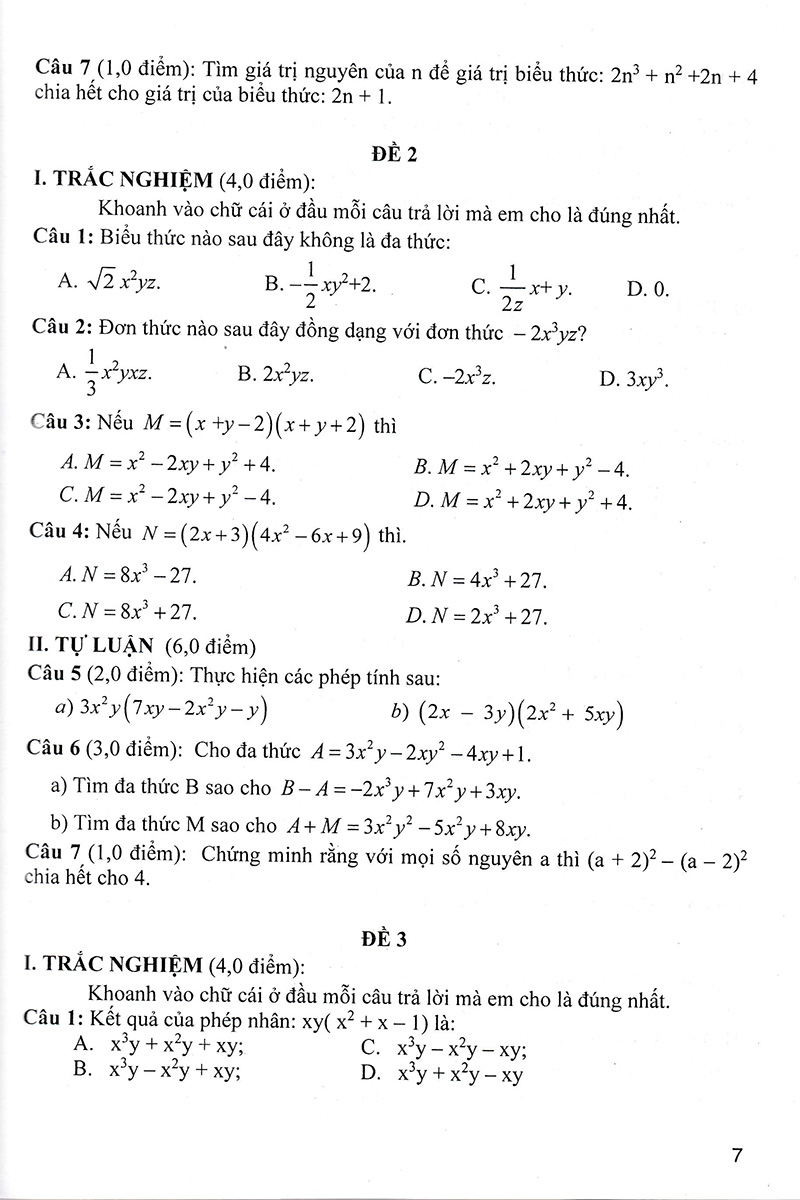
✨Đề Kiểm Tra Toán 8 (Bám Sát SGK Kết Nối Tri Thức Với Cuộc Sống)

Sau một năm thực hiện Chương trình giáo dục phổ thông mới, với phương châm là giúp học sinh phát triển phẩm chất và năng lực vừa phải mở mang kiến thức vừa phải rèn luyện kĩ năng. Quý thầy cô và các e...

mua sản phẩm tại Shopee Mua tại Shopeemua sản phẩm tại TikiMua tại Tikimua sản phẩm tại LazadaMua tại Lazadamua sản phẩm tại TiktokMua tại Tiktok
Đề Kiểm Tra Toán 8 (Bám Sát SGK Kết Nối Tri Thức Với Cuộc Sống)Đề Kiểm Tra Toán 8 (Bám Sát SGK Kết Nối Tri Thức Với Cuộc Sống)Đề Kiểm Tra Toán 8 (Bám Sát SGK Kết Nối Tri Thức Với Cuộc Sống)Đề Kiểm Tra Toán 8 (Bám Sát SGK Kết Nối Tri Thức Với Cuộc Sống)Đề Kiểm Tra Toán 8 (Bám Sát SGK Kết Nối Tri Thức Với Cuộc Sống)Đề Kiểm Tra Toán 8 (Bám Sát SGK Kết Nối Tri Thức Với Cuộc Sống)Đề Kiểm Tra Toán 8 (Bám Sát SGK Kết Nối Tri Thức Với Cuộc Sống)Đề Kiểm Tra Toán 8 (Bám Sát SGK Kết Nối Tri Thức Với Cuộc Sống)Đề Kiểm Tra Toán 8 (Bám Sát SGK Kết Nối Tri Thức Với Cuộc Sống)

Sau một năm thực hiện Chương trình giáo dục phổ thông mới, với phương châm là giúp học sinh phát triển phẩm chất và năng lực vừa phải mở mang kiến thức vừa phải rèn luyện kĩ năng. Quý thầy cô và các em học sinh đã từng bước tiếp cận nội dung và phương pháp mới. Đồng hành cùng quý thầy cô và các em học sinh, tác giả tiếp tục biên soạn cuốn sách “Đề kiểm tra Toán 8” với hi vọng sẽ là tài liệu tham khảo thiết thực cho quý thầy cô và các em học sinh rèn luyện năng lực theo hướng phát triển. Cuốn sách có nội dung bám sát bộ sách giáo khoa “Kết nối tri thức với cuộc sống” của Nhà xuất bản Giáo dục Việt Nam. Ngoài ra quý phụ huynh có thể sử dụng cuốn sách làm tài liệu tham khảo nhằm giúp đỡ con em mình học môn Toán tốt hơn. Cuốn sách được biên soạn theo từng bài học và chia làm 3 phần:

  • Phần 1: Kiến thức cơ bản và các đề kiểm tra thường xuyên.
  • Phần 2: Các đề kiểm tra giữa kì 1, 2 và có hướng dẫn giải
  • Phần 3: Các đề kiểm tra cuối kì 1, 2 và có hướng dẫn giải Phần Hướng dẫn giải Trong quá trình biên soạn, cuốn sách chắc chắn không tránh khỏi những thiếu sót nhất định. Tác giả rất mong nhận được ý kiến đóng góp chân thành của bạn đọc gần xa, đặc biệt là quý thầy, cô và các em học sinh thân yêu để cuốn sách ngày càng hoàn thiện hơn trong lần tái bản tiếp theo.   Nhà Sách luôn luôn cập nhật những đầu sách mới nhất để các khách hàng tiện theo dõi. Và để khách hàng dễ dàng hơn trong việc lựa chọn, nhà sách online chúng tôi còn chia sẻ những review của bạn đọc. Để phục vụ bạn đọc ở khắp mọi nơi, Nhà Sách Anh Thành thực hiện chương trình miễn phí phí vận chuyển cho những đơn hàng trên phạm vi toàn quốc. Nếu có bất kỳ thắc mắc về sản phẩm, vui lòng liên hệ ngay với chúng tôi trong phần chat. Chúng tôi luôn ở đây và sẵn sàng giải đáp cho bạn!#sach #sachkinang #nhasach #sachmoi #nhasachonline #thanhanbooks #truyen #tieuthuyet #yhoc #dinhduong #suckhoe #sachykhoa #sachdinhduong #nhasachthanhanhcm #sachthamkhao #sachvanhoc #sachluyenthi #sachtongiao #sachphatgiao #sachthethao #sachkinhte #sachdienanh #dekiemtratoan8 #bamsatsgkketnoitrithucvoicuocsong #nxbdaihocquocgiahanoi #2023

    anhthanh . vn hân hạnh giới thiệu đến bạn đọc

mua sản phẩm tại Shopee Mua tại Shopeemua sản phẩm tại TikiMua tại Tikimua sản phẩm tại LazadaMua tại Lazadamua sản phẩm tại TiktokMua tại Tiktok
Sách - 100 bài phân tích - bình giảng - bình luận văn học (dùng chung cho các bộ sgk hiện hành) - HA Công ty phát hành: Nhà Sách Hồng Ân Nhà xuất bản:
Sách - 36 Bộ Đề Tiếng Anh Theo Cấu Trúc Đề Minh Họa Kì Thi 2025 Luyện Thi THPT Quốc Gia (Dùng Chung Cho Các Bộ SGK Hiện Hành) - HA 36 Bộ Đề Tiếng
1. Sách tự học Toán học lớp 11 tập 1 chương trình mới: + Chương trình chuẩn kết hợp theo cả 3 bộ sách: Cánh Diều, Kết Nối Tri Thức với Cuộc sống và Chân
199 Dàn Bài Và Bài Văn Hay 8 Quý phụ huynh và các em học sinh lớp 8 thân mến! Chúng tôi trân trọng giới thiệu đến quý phụ huynh và các em học sinh
Sách - Phân Loại Và Giải Chi Tiết Các Dạng Bài Tập Toán 8 tập 1 Nội dung của mỗi tiết học đó là các định nghĩa, các công thức toán học, các định lí
SÁCH - Bồi dưỡng học sinh giỏi sinh học 9 (HA) Cuốn sách Bồi dưỡng học sinh giỏi Sinh học 9 được xuất bản nhằm mục đích cung cấp một tài liệu có ích trong
Sách - Combo Hướng Dẫn Học & Giải Các Dạng Bài Tập Toán 7 - Tập 1 + 2 (Bám Sát SGK Kết Nối Tri Thức Với Cuộc Sống)     Bộ sách gồm có:
Sách - Phân Loại Và Giải Chi Tiết Các Dạng Bài Tập Toán 8 tập 1   Nội dung của mỗi tiết học đó là các định nghĩa, các công thức toán học, các định
MÔ TẢ SẢN PHẨM Nội dung của mỗi tiết học đó là các định nghĩa, các công thức toán học, các định lí mà mỗi học sinh cần nhớ, đồng thời phải biết vận dụng
Sách - Combo Hướng Dẫn Học & Phương Pháp Giải Toán Lớp 7 - Tập 1 + Tập 2 (Bám Sát SGK Chân Trời Sáng Tạo)   Gồm 2 cuốn : Hướng Dẫn Học &
Định Hướng Và Phát Triển Tư Duy Giải Bài Tập Toán Khó Lớp 6 - Tập 2 (Dùng Cho Các Bộ SGK Hiện Hành)   Định Hướng Và Phát Triển Tư Duy Giải Bài Tập Toán
Nhà cung cấp ndbooks     NXB Dân Trí     Tác giả Nhiều tác giả     Năm XB 2025       khổ 20.5x28.5 cm    Số trang: 116 trang     Hệ thống bài tập theo
Sách-Tuyển Tập Đề Kiểm Tra Định Kì Khoa Học Tự Nhiên Lớp 8 (Dùng Chung Cho Các Bộ SGK Hiện Hành) - HA Kiểm tra - đánh giá là một hoạt động không thể thiếu
GLOBAL SUCCESS - Bồi dưỡng học sinh giỏi tiếng anh lớp 8 (có đáp án) Với sứ mệnh giáo dục và truyền đạt kiến thức , chúng tôi hân hạnh giới thiệu bộ sách "
Công ty phát hành Nhà Sách Hồng Ân Năm Xuất Bản 2024 Tác Giả: PGS.TS.NGƯT CAO CỰ GIÁC, NGUYỄN THỊ HOÀI ÂN, NGUYỄN CÔNG CHUNG, TRẦN PHẠM BÁ HẬU Kích Thước 17 × 24 cm
Combo Big 4 Bộ Đề Tự Kiểm Tra 4 Kỹ Năng Nghe - Nói - Đọc - Viết Tiếng Anh (Cơ Bản Và Nâng Cao) 6 Tập 1 + 2 (Bộ 2 Cuốn) Bộ sách
Sách -(Combo)Toán Cơ Bản Và Nâng Cao Lớp 8 (Kết Nối)   Cuốn sách Toán Cơ Bản Và Nâng Cao Lớp 8 là tài liệu cung cấp phương pháp giúp các em tự học, tự
Mỗi bài gồm 4 mục:   Kiến thức cơ bản: hệ thống những kiến thức cần thiết nhất mà các em phải nắm vững..   Sai lầm cần tránh lưu ý các em những lỗi
Đột Phá Tư Duy Toán Lớp 8 Bí quyết giúp con tăng 500% hứng thú tự học & tăng nhanh điểm kiểm tra trên lớp bằng phương pháp tự học đột phá tư duy Bằng
Phương Pháp Tư Duy Tìm Cách Giải Toán Đại Số 9 (Dùng Chung Cho Các Bộ SGK Hiện Hành)    Phương Pháp Tư Duy Tìm Cách Giải Toán Đại Số 9, sách trình bày những
SÁCH ĐỘT PHÁ TƯ DUY KHOA HỌC TỰ NHIÊN - DÙNG CHUNG CHO CẤC BỘ SGK   Đột phá tư duy Khoa học tự nhiên 6 không chỉ là một bộ sách mà còn là
SÁCH ĐỘT PHÁ TƯ DUY LỊCH SỬ VÀ ĐỊA LÍ Biến việc học thành một cuộc phiêu lưu thú vị   Bám sát chương trình học - Chìa khóa thành công cho mọi kì thi
Sách - Bồi dưỡng học sinh giỏi Toán lớp 7 Bộ sách được biên soạn bởi nhóm tác giả là những thầy cô giáo đã và đang giảng dạy ở các lớp chuyên Toán của
Tác giả: Nhiều tác giả Nhà xuất bản: NXB Dân Trí Đơn vị phát hành: Công ty Cổ phần Tập đoàn Giáo dục và Đào tạo WinEdu Số trang: 176 Bìa Mềm Ngày phát hành:
Bộ sách Big 4 - Bộ đề Tự kiểm tra 4 kỹ năng NGHE – NÓI – ĐỌC – VIẾT được biên soạn theo khung chương trình mới của Bộ Giáo dục và Đào tạo
Tuyển Chọn 171 Bài Văn Hay 8 (Theo Chương Trình Giáo Dục Phổ Thông Mới) Sáchđược biên soạn theo sách giáo khoa Ngữ Văn 8 – Chương trình mới nhất của Bộ Giáo dục và
Cuốn sách gồm các chuyên đề sau : Chuyên đề 1. Biền đổi đồng nhất Chuyên đề 2. Biến đổi căn thức Chuyên đề 3. Xác định đa thức Chuyên đề 4. Hệ phương trình
Sách - Giải Bằng Nhiều Cách Các Bài Toán Lớp 9 (Dùng Chung Cho Các Bộ SGK Hiện Hành) - HA Trong học toán và giải toán, việc tìm những lời giải khác nhau cho
Giới Thiệu Sách:   Cuốn Sách 7 Chủ đề toán thực tế đặc sắc (Giúp chinh phục kì thi tuyển sinh vào lớp 10).   7 CHỦ ĐỀ TOÁN THỰC TẾ ĐẶC SẮC - Giúp
Nhà xuất bản Dân Trí     Tác giả Nhiều tác giả     Năm XB 2025     Khổ sách 20.5x28.5 cm    Số trang: 112 trang    Nội dung kiến thức Bao quát các chuyên đề:
Nhà cung cấp ndbooks    Nhà xuất bản Dân Trí     Tác giả Nhiều tác giả     Năm XB 2025       Khổ sách 20.5x28.5 cm    Số trang: 112 trang    Nội dung
Sách - 155 bài làm văn chọn lọc 9 Bạn đọc thân mến, “155 Bài làm văn chọn lọc 9” được biên soạn trên cơ sở Chương trình Ngữ văn Trung học cơ sở hiện
Sách - Những đề & bài văn nghị luận theo hướng mở (dùng chung các bộ sgk hiện hành) - HA Làm văn là một phần quan trọng của môn học Ngữ văn. Làm văn
Sách -(Combo)Toán Cơ Bản Và Nâng Cao Lớp 9(Kết Nối)   Cuốn sách Toán Cơ Bản Và Nâng Cao Lớp 9 là tài liệu cung cấp phương pháp giúp các em tự học, tự rèn
Bắt đầu từ năm học 2023-2024 học sinh lớp 8 học theo chương trình sách giáo khoa mới. Sách giáo khoa mới nhấn mạnh đến rèn luyện tinh thần tự học của học sinh. Nội
Sách - 155 bài làm văn chọn lọc 9 + ha Bạn đọc thân mến, “155 Bài làm văn chọn lọc 9” được biên soạn trên cơ sở Chương trình Ngữ văn Trung học cơ
Định Hướng Và Phát Triển Tư Duy Giải Bài Tập Toán Khó Lớp 9 - Tập 1 (Dùng Chung Cho Các Bộ SGK Hiện Hành)    “Định hướng và phát triển tư duy giải bài
Hướng Dẫn Học Tốt Ngữ Văn 9 - Tập 1 (Bám Sát SGK Cánh Diều)      Mặc dù đã đồng hành cùng với chủ trương lớn của Đảng, Nhà nước - thay đổi sách
Sách - Học Tốt Khoa Học Tự Nhiên 9 (Dùng Kèm SGK Cánh Diều) - HA Quý thầy, cô, các bậc phụ huynh và các em học sinh thân mến! Sách giáo khoa Khoa học
MÔ TẢ SẢN PHẨM Sách - Học Tốt Khoa Học Tự Nhiên 9 (Dùng Kèm SGK Cánh Diều) - HA Quý thầy, cô, các bậc phụ huynh và các em học sinh thân mến! Sách
Phân Loại Và Giải Chi Tiết Các Dạng Bài Tập Toán Lớp 6 Tập 2 (Bám Sát SGK Kết Nối Tri Thức Với Cuộc Sống) Phân Loại Và Giải Chi Tiết Các Dạng Bài Tập
Nhà xuất bản : Đại Học Quốc Gia hà Nội Trang : 272 Năm xuất bản : 2022 Tác giả : nhiều tác giả   Nhà phát hành : Nhà sách hồng ân Sách -
Phương Pháp Giải Toán Bất Đẳng Thức Và Cực Trị Cuốn sách Phương Pháp Giải Toán Bất Đẳng Thức Và Cực Trị do nhóm tác giả Nguyễn Văn Dũng, Võ Quốc Bá Cẩn, Trần Quốc
Kĩ Năng Giải Toán Căn Bản Và Mở Rộng Lớp 7 - Tập 1 (Dùng Chung Cho Các Bộ SGK Hiện Hành)   Bộ sách Kĩ Năng Giải Toán Căn Bản Và Mở Rộng Lớp 7 được
Sách - ôn tập kiểm tra nâng cao và phát triển năng lực ngữ văn 7 thuộc bộ sách này được viết bám sát theo chương trình mới của Bộ Giáo dục và Đào tạo,
Cuốn sách gồm các chuyên đề sau : Chuyên đề 1. Biền đổi đồng nhất Chuyên đề 2. Biến đổi căn thức Chuyên đề 3. Xác định đa thức Chuyên đề 4. Hệ phương trình
MÔ TẢ SẢN PHẨM Hướng Dẫn Trả Lời Câu Hỏi Khoa Học Tự Nhiên 9 (dùng kèm SGK Kết nối tri thức với cuộc sống): Nhằm giúp quý Thầy, Cô, các bậc phụ huynh và
Sách - Giới thiệu bộ đề thi môn tiếng anh tốt nghiệp THPT (theo chương trình GDPT mới - áp dụng từ năm 2025) - HA Các em học sinh thân mến! Cuốn sách Giới
MÔ TẢ SẢN PHẨM Hướng Dẫn Trả Lời Câu Hỏi Khoa Học Tự Nhiên 9 (dùng kèm SGK Kết nối tri thức với cuộc sống): Nhằm giúp quý Thầy, Cô, các bậc phụ huynh và
Sách - ôn tập kiểm tra nâng cao và phát triển năng lực ngữ văn 7 thuộc bộ sách này được viết bám sát theo chương trình mới của Bộ Giáo dục và Đào tạo,
Chương trình Ngữ văn lớp 8 theo định hướng phát triển năng lực 2018 có nhiều thay đổi khi sử dụng ba bộ sách giáo khoa khác nhau. Sau thành công của 2 cuốn Bồi
Bài tập tiếng Anh lớp 7 (không đáp án)   Sách bài tập tiếng anh lớp 7 được biên soạn dành cho học sinh lớp 7, do Nhà xuất bản Đại học Quốc gia Hà Nội
Chương trình Ngữ văn lớp 8 theo định hướng phát triển năng lực 2018 có nhiều thay đổi khi sử dụng ba bộ sách giáo khoa khác nhau. Sau thành công của 2 cuốn Bồi
Nhà cung cấp ndbooks    NXB Dân Trí    Tác giả Nhiều tác giả    Năm XB 2025        khổ 20.5x28.5 cm   Số trang: 96 trang    Hệ thống bài tập theo
Công ty phát hành: Dn Tư Nhân Thương Mại Toàn Phúc Nhà xuất bản: NXB Đà Nẵng Tác giả: Nhiều Tác Giả Loại bìa: Bìa Mềm Số trang: 288 Năm xuất bản: 2021    
Sách - Hướng dẫn viết, nói & nghe các dạng văn lớp 9 tập 1 + ha Trong chương trình giáo dục phổ thông tổng thể 2018, cùng với các môn học khác, môn Ngữ
Sách - Tuyển tập đề thi tốt nghiệp THPT môn hóa học (Cấu trúc đề thi 2025) - HA Kỳ thi tốt nghiệp trung học phổ thông từ năm 2025 sẽ thực hiện theo Chương
Sách - Hướng dẫn viết, nói & nghe các dạng văn lớp 9 tập 2 + ha Trong chương trình giáo dục phổ thông tổng thể 2018, cùng với các môn học khác, môn Ngữ
Kiến Thức Cơ Bản Và Nâng Cao Khoa Học Tự Nhiên Môn Hóa Học 9 (Theo Chương Trình Giáo Dục Phổ Thông Mới - Dùng Chung Cho Các Bộ SGK Hiện Hành) Môn Hóa cũng
Sách - Giúp em giỏi toán 9/1 (bám sát sgk kết nối tri thức với cuộc sống) - HA   Cuốn sách Giúp em giỏi Toán 9 – Tập một được biên soạn bám sát
Trang đầu 1 2 3 4 5 6 7 8 9 10 11 12 13 14 15 16 17 18 19 20 21 22 23 24 25 26 27 28 29 30 31 32 33 34 35 36 37 38 39 40 41 42 43 44 45 46 47 48 49 50 Trang cuối
👁️ 92 | ⌚2025-09-29 14:30:03.378

QC Shopee
Sức Mạnh Của Thói Quen (Power Of Habits) (Tái Bản) Về cơ bản, người lớn và trẻ em không khác nhau là mấy. Bởi hầu hết những hành động hàng ngày của chúng ta đều
Nuri là một người nuôi ong và Afra, vợ anh, là một nghệ sĩ. Buổi sáng, Nuri dậy sớm để cầu nguyện trước khi lái xe đến trại nuôi ong ở miệt thôn quê. Vào
Việt Nam Phong Tục Ấn bản đầy đủ nhất của “Việt Nam phong tục” - tập khảo cứu toàn diện về phong tục, tập quán của người Việt xưa của học giả Phan Kế Bính. Tập sách có thêm phần chú giải, hiệu chỉnh giúp độc giả ngày nay có thể hiểu rõ hơn tác phẩm. "Việt Nam phong tục” là một nghiên cứu khá kĩ lưỡng, bức tranh toàn diện về phong tục, tập quán của người Việt, từ phong tục trong gia đình, làng xã đến phong tục quốc gia, xã hội được viết với văn phong hiện đại dù vẫn chịu ảnh hưởng của lối viết biền ngẫu đăng đối trong văn học cổ. Mỗi chương, mục đều được tác giả trình bày và diễn giải khúc chiết, ngắn gọn, rõ ràng với quan điểm khá tân tiến so với những người cùng thời. “Ta ngoảnh lại mà xem những tục cũ thì tỏ ra nhiều điều ngày trước là hay mà bây giờ hóa ra hủ bại lắm rồi. Đó cũng không phải là tổ tiên ta khi trước có vụng dại gì, chỉ là thời thế mỗi lúc một khác, mà mỗi lần biến cải thì cái trình độ khai hóa lại tấn tới thêm lên một tầng. Ấy cũng là cái lẽ tự nhiên của tạo hóa như thế. Tuy vậy cái tục cũ truyền nhiễm đã lâu, không dễ mà một mai đổi ngay được. Muốn đổi thì phải lựa dần dần, trước hết phải xét điều gì quá tệ mà bỏ bớt đi, rồi lâu lâu mới đem cái tục hay mà bổ hết cho các tục dở. Còn tục gì hay mà là quốc túy của ta thì cứ giữ lấy.” (Tựa, Việt Nam phong tục) --- Phan Kế Bính (1875 – 1921), hiệu là Bưu Văn, quê ở làng Thụy Khê, huyện Hoàn Long, tỉnh Hà Đông (nay thuộc phường Thụy Khuê, quận Tây Hồ, Hà Nội). Ông là một nhà báo, nhà khảo cứu và dịch giả nổi tiếng của Việt Nam đầu thế kỉ 20. Tên tuổi của ông gắn liền với các tờ báo Ðông Dương tạp chí, Lục tỉnh tân văn, Trung Bắc tân văn. Đặc biệt, ông có thời gian làm trong ban biên tập Đông Dương tạp chí, và nhiều tác phẩm của ông được đăng trên tạp chí này, tiêu biểu là “Việt Nam phong tục”.
Tâm Hành - Giữ Tâm Điềm Tĩnh, Sống Đời Thảnh Thơi Thế nào là tu hành? Là “ẩn cư” ở nơi thâm sơn cùng cốc? Là thiền định vài tháng rồi khoe khoang bản thân
Sách -Yến hội và Phaeorus Tên Nhà Cung Cấp: Omega Plus Tác giả: Platon Người Dịch Đỗ Khánh Hoan NXB: NXB Thế Giới Năm XB: 2019 Ngôn Ngữ Tiếng Việt Trọng lượng (gr) 320 Kích
Bạn có biết quả bóng đá ban đầu có màu hạt dẻ, cựu Tổng thống Mỹ Barack Obama từng là thành viên một đội bóng rổ và Aikido là một trong số ít những môn
Yến Hội Và Phaedrus ------------   Từ khi được sáng tác lần lượt vào khoảng năm 385-380 TCN và 370 TCN, Yến hội và Phaedrus vẫn được coi là các triết phẩm gây nhiều ấn
Cuốn Sách Lớn Đầu Tiên Của Tớ: Vũ Trụ Thế giới có muôn vàn điều kì thú và bộ sách Cuốn Sách Lớn Đầu Tiên của Tớ sẽ dẫn bé bước vào cuộc hành trình
“Ít có bộ môn sáng tác nghệ thuật nào thường xuyên gắn bó với chu kỳ sống của chúng ta như nhiếp ảnh”. Đúng như nhận định đầu tiên trong Lời giới thiệu sách, từ
Truyện Tranh Triết Học Cho Trẻ Em, Và Cả… Cho Người Lớn - Các Nhà Hiền Triết Bất Kham Suy tư triết học chính là chống lại những định kiến, những lối mòn suy ngẫm
CƠ THỂ VÀ NÃO BỘ: AI LÀM CHỦ? Không ai có thể sở hữu bộ não hoàn hảo không khuyết điểm, không ai có bộ não hoàn toàn “bình thường”. Não bộ của mỗi người
Tình Dục Thuở Hồng Hoang "Bạn đang có trong tay một cuốn sách vô cùng thú vị… Cuốn sách này đã đặt ra những vấn đề sẽ cần đến rất nhiều cuộc thảo luận để
Factopia là cuốn sách hoàn hảo cho bất kỳ người yêu thích sự thật nào, chứa 400 sự thật khác nhau để khám phá và kinh ngạc, bao gồm đủ mọi chủ đề tự nhiên
Factopia – 400 điều sửng sốt nơi Xứ Sự Thật Factopia là cuốn sách hoàn hảo cho bất kỳ người yêu thích sự thật nào, chứa 400 sự thật khác nhau để khám phá và
Kỹ năng tối ưu hóa hiệu quả đầu tư với quy tắc “Tam giác vàng quản lý tài chính” "Tam giác vàng quản lý tài chính" nghĩa là chi phí sinh hoạt chung chiếm 60%
30 TUỔI - MỌI THỨ CHỈ MỚI BẮT ĐẦU “Bởi vì, ba mươi tuổi mọi thứ chỉ mới bắt đầu. Đừng sợ đau khổ. Tất cả những khổ đau phải trải qua ở tuổi đôi
“Hành Tinh Biển – Khám Phá Hệ Sinh Thái Đầy Màu Sắc Dưới Đại Dương” là một chuyến du hành sinh động, đưa bạn đến những vùng biển xa xôi, nơi sự sống được hình
Sách - A Mind For Numbers - Cách Chinh Phục Toán Và Khoa Học - Alpha Books - Bìa Mềm ------------   Sách - A Mind For Numbers - Cách Chinh Phục Toán Và Khoa
Cá chình châu Âu, Anguilla anguilla, là một trong những sinh vật kỳ lạ nhất mà thiên nhiên từng tạo ra. Có rất ít thông tin về sinh vật nay ngay cả đến ngày nay.
Với hơn một thập kỷ nghiên cứu về hạnh phúc và bản chất con người, một ngày nọ, sau khi bước ra từ phòng khám mắt, Gretchen Rubin chợt nhận thấy mình đã bỏ qua