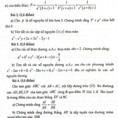
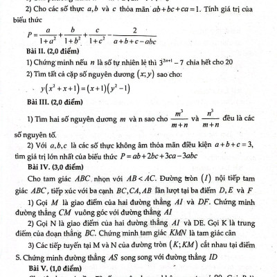
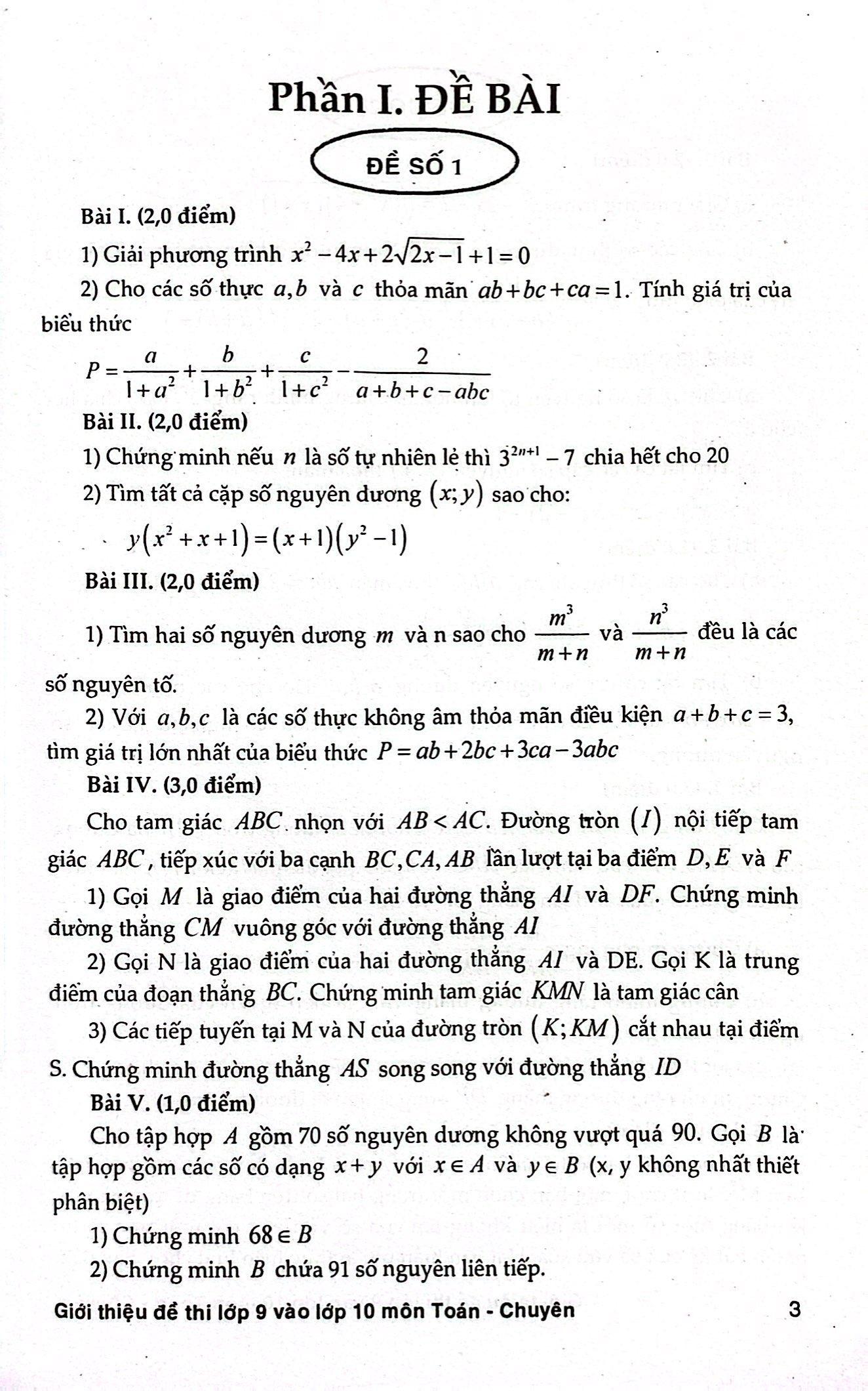
✨Giới Thiệu Đề Thi Lớp 9 Vào Lớp 10 Môn Toán Chuyên












Giới Thiệu Đề Thi Lớp 9 Vào Lớp 10 Môn Toán Chuyên
Sách tổng hợp các đề thi của các tỉnh thành trên cả nước.




Máy bơm chìm hồ cá công suất Thân máy bằng nhựa ABS rất chắc chắn giúp nâng cao tuổi thọ của máy. Chân đế cao su dạn hít giúp máy cố định không bị trơn
Máy bơm chìm hồ cá DH-388 công suất 15w + Cụm 12 đèn LED Thông số kỹ thuật: BƠM : HỒ CÁ MODEL : JK-388 LED ĐẦU RA : 13 MM HMAX : 150CM QMAX
Nếu đã hiểu nhau rồi, sao trông anh lạ thế? Học cách thấu cảm người khác Thấu cảm là khả năng nhìn thế giới bằng con mắt của người khác, đặt mình vào cuộc đời
Combo Sách Góc Nhỏ Có Nắng + Hộp 20 Bút Lông Màu Pastel Rửa Được Washable Fiber Pen - Colokit SWM-C008 1. Góc Nhỏ Có Nắng - Với 30 chủ đề tô màu phong phú
Muối - Sự Hồi Sinh Nơi Sâu Thẳm Vụn Vỡ “Cách đối xử tốt nhất với một người là gì? Có lẽ chính là khắc ghi người đó trong tim, dù cả đời không hề
Từ ngày ấy, Đắc Nhân Tâm trở thành cuốn sách không-chịu-nằm-yên-trên-kệ. Ngoài ý được tái bản liên tục ở khắp nơi trên thế giới, thì cụm từ này còn có một ý khác, đó là
Công ty phát hành: 1980 Books Tác giả: Thái Đồng Người dịch: Ngô Thúy Hồng Kích thước khổ: 13 X20 Số Trang: 376 Nhà xuất bản: NXB Công Thương Giới thiệu sách: Trong thế giới
Những Kẻ Khó Ưa - Giúp Bạn Ứng Phó Mối Quan Hệ Độc Hại Nhà xuất bản : Nhà Xuất Bản Dân Trí. Công ty phát hành : Skybooks. Tác giả : Helen McGrath. Kích
Tác giả: Tony Parsons Dịch giả: Phan Quế Anh Nhà xuất bản: Hà Nội Số trang: 440 Kích thước: 14 x 20.5 cm Ngày phát hành: 07-2022 “Tony Parsons đã thấu hiểu được tâm trí
Sức Mạnh Của Hiện Tại (Tái Bản 2021)
Không cần phải thắng đậm trên thị trường chứng khoán, không cần phải là người đứng đầu một công ty khởi nghiệp, và cũng không cần đầu tư vào bất động sản; Kristy Shen và
Combo Sách Tô Màu Capy Và Những Người Bạn + Hộp 20 Bút Lông Màu Pastel Rửa Được Washable Fiber Pen - Colokit SWM-C008 1. Capy Và Những Người Bạn Trong cuốn sách 'Capy và
Đừng Ôm Tương Tư Một Mối Tình Đã Cũ “Các bạn à, chúng ta, ai cũng có những niềm riêng giấu kín. Nỗi đau tuổi thơ là ký ức chẳng ai muốn thêm một lần
Thảo Cầm Viên Sài Gòn - Kho Báu Trong Lòng Thành Phố Thảo Cầm Viên là công viên bảo tồn động, thực vật ở thành phố Hồ Chí Minh. Với diện tích hơn 20 ha,
One Decision - Kỹ Năng Ra Quyết Định Sáng Suốt
Vượt Qua Chuyện Sao Hỏa, Sao Kim - Kỹ Năng Gìn Giữ Và Phát Triển Cuộc Sống Lứa Đôi Trong Thế Giới Phức Tạp Ngày Nay
Tập Ngó Lơ - Đường Đến Tâm An Chúng ta có thói quen giống với những người thợ chụp ảnh, ấy là trong rất nhiều cảnh sắc của cuộc đời, ta chỉ thấy ấn tượng
Tủ Sách Giáo Dục Shichida - Siêu Não Phải - Nuôi Dạy Con Trở Thành Thiên Tài Theo Phương Pháp Giáo Dục Shichida Nuôi dạy con trở thành thiên tài theo phương pháp giáo dục
Tác giả: Ray Bradbury Dịch giả: Lê Hồng Vân Nhà xuất bản: Văn Học Số trang: 402 Ngày phát hành: 08-2023 Dẫu được tôn vinh vào hàng kinh điển trong dòng sách khoa học viễn
Một mảnh trò đời –được xem là tác phẩm nặng ký của một nhà văn trẻ từng gây xôn xao văn đàn thế giới và sau đó được lọt vào danh sách shortlist của giải
Dưới đây là mô tả loại 10A Tính năng nổi bật : - Tự động nhận bình 12V hoặc 24V - Tự ngắt sạc khi bình đủ điện, tự ngắt tải khi bình bị sụt
THE MASTERY OF LOVE NHỮNG CHỈ DẪN ĐỂ LÀM CHỦ TRÁI TIM Để trở thành bậc thầy tình yêu, ta phải thực hành yêu thương Có thể bạn chưa từng nghĩ đến điều này, nhưng
Kỹ Năng Quản Trị Học Tập - Dành Cho Học Sinh Và Sinh Viên Dựa trên cuốn sách bán chạy nhất về quản lý thời gian của Brian Tracy với hơn 2,4 triệu bản trên
The Mastery Of Self - Hành Trình Thấu Hiểu Bản Thân Và Tìm Thấy Tự Do
Chúng Ta Làm Gì Với Trái Đất?
Giao Tiếp 360 Độ - Nghệ Thuật Ứng Biến Trong Mọi Tình Huống Một người sống nội tâm, không thích nói chuyện có thể làm chủ hào quang trên sân khấu hay không? Một người
Tuổi Thơ Êm Đềm Là Vốn Liếng Tâm Lý Một Đời Tuổi thơ trong tâm trí đại đa số chúng ta luôn là những mảnh kí ức trong sáng nhất, đáng để nhớ và hoài
Sức Mạnh Của Sự Tranh Luận Khi im lặng không còn là vàng Đôi khi chúng ta chỉ nín thinh. Chính vì chúng ta không dám nói ra chính kiến của m.ình, người khác sẽ
Tác giả: RANSOM RIGGS Dịch giả: Ly Ca Nhà xuất bản: Hội Nhà Văn Số trang: 420 Kích thước: 14 x 20.5cm Ngày phát hành: 03-2023 Những lời trăn trối của ông H – liên
Điều gì làm nên sự khác biệt giữa một người giỏi giao tiếp và một người giỏi thuyết phục? Tác giả sách bán chạy Robert Cialdini, đồng thời là nhà tâm lý học được trích
Tư duy như một nhà khoa học tên lửa là nhìn thế giới qua một lăng kính khác. Các nhà khoa học tên lửa hình dung ra những điều không tưởng và giải quyết những
NHỮNG PHƯƠNG THỨC TƯ DUY (Modes of Thought) Học thuyết chủ đạo của các bài giảng này quan niệm rằng các yếu tố trong kinh nghiệm của chúng ta là “rõ ràng và phân minh”
Đến Apple Học Về Sáng Tạo Apple đã thành công như thế nào? Ai cũng biết rằng Apple là một doanh nghiệp hàng nghìn tỷ đô. Vậy họ đã dùng phương thức nào, quy trình
Đi tìm lẽ sống của Viktor Frankl là một trong những quyển sách kinh điển của thời đại. Thông thường, nếu một quyển sách chỉ có một đoạn văn, một ý tưởng có sức mạnh
Stand Out - Khác Biệt Nhà xuất bản : Nhà Xuất Bản Thế Giới. Công ty phát hành : Saigon Books. Tác giả : Dorie Clark. Kích thước : 14 x 20.5 cm. Số trang
"Nếu bạn vẫn chưa sử dụng được sức mạnh của tư duy hình ảnh thì tại sao không thử đọc sách này? Tư duy hình ảnh và vẽ sơ đồ đang ngày càng trở nên
Sức Mạnh Thấu Cảm - Bậc Thầy Của Tâm Thức Nhà xuất bản : Nhà Xuất Bản Thanh Niên. Công ty phát hành : Bebooks. Tác giả : Katherine Ketcham. Kích thước : 15.7
Từ ngày ấy, Đắc Nhân Tâm trở thành cuốn sách không-chịu-nằm-yên-trên-kệ. Ngoài ý được tái bản liên tục ở khắp nơi trên thế giới, thì cụm từ này còn có một ý khác, đó là
Sinh Tồn Cùng Covid-19
Đi tìm lẽ sống của Viktor Frankl là một trong những quyển sách kinh điển của thời đại. Thông thường, nếu một quyển sách chỉ có một đoạn văn, một ý tưởng có sức mạnh
Cánh Cửa Mở Rộng - Phải Trái Đúng Sai
Đi tìm lẽ sống của Viktor Frankl là một trong những quyển sách kinh điển của thời đại. Thông thường, nếu một quyển sách chỉ có một đoạn văn, một ý tưởng có sức mạnh
Đẹp Và Chân Thực: Tác giả: Sali Hughes Dịch giả: Huyền Nguyễn Thương hiệu: Stylory Khổ sách: 16x24 cm Số trang: 340 trang Nhà xuất bản: Thế Giới Dự kiến phát hành Hà Nội: 30/11/2021
Tác giả: Úc Phức Dịch giả: Nhượng Lê Nhà xuất bản: Hà Nội Số trang: 456 Kích thước: 14x20.5 cm Ngày phát hành: 03-2022 Liên tiếp phá được nhiều vụ án ở kinh đô Trường
Chân Dung Của Ly Hôn - Cha, Mẹ Và Con: Hạnh Phúc Nào Sau Cuộc Đổ Vỡ? Ly hôn không phải chỉ là lúc cặp vợ chồng ra tòa ký vào lá đơn chia tay.
Thế Giới Không Rác Thải - Nền Kinh Tế Tuần Hoàn Giúp Doanh Nghiệp Phát Triển Bền Vững Và Bảo Vệ Hành Tinh Như Thế Nào Nền kinh tế khai thác – sản xuất –
vòi phun hình bông hoa INOX 21mm Đầu phun hình hoa - Đầu phun nước nghệ thuật tạo hình hoa -Công Dụng : Dùng Phun Nước Nghệ Thuật -Xuất Xứ : Đài loan -Kiểu Phun
-------------------------------------------------------- - Chất liệu thép không gỉ 304 - Kích thước 10x10cm - Ngăn mùi hiệu quả - Kích thước ông thoát 8cm - Khối lượng:150g - Thoát nước nhanh, lưu lượng lớn - Tháo
Bước Nhảy Tâm Linh - Tâm Lý Học Tỉnh Thức Trạng thái tỉnh thức là trạng thái như thế nào? Làm sao để vượt qua cảm giác hoang mang, mất phương hướng khi bước vào
Đẹp Và Chân Thực
Tác giả: Úc Phức Dịch giả: Nhượng Lê Nhà xuất bản: Hà Nội Số trang: 456 Kích thước: 14x20.5 cm Ngày phát hành: 03-2022 Liên tiếp phá được nhiều vụ án ở kinh đô Trường
Mã hàng 8935325002236 Tên Nhà Cung Cấp AZ Việt Nam Tác giả Sali Hughes Người Dịch Huyền Nguyễn NXB NXB Thế Giới Năm XB 2021 Ngôn Ngữ Tiếng Việt Trọng lượng (gr) 350 Kích Thước
Zero Waste Home - Nhà Không Rác (Tái Bản 2022) “Môi trường, kinh tế và sức khỏe của chúng ta đang bị khủng hoảng trầm trọng. Tài nguyên thiên nhiên đang dần cạn kiệt, tình

Làm thế nào để doanh nghiệp hoạt động hiệu quả trong thời đại công nghệ 4.0 là mối quan tâm của bất cứ ai muốn công việc của mình trở nên trọn vẹn, đặc biệt
Mô tả: Xây dựng một doanh nghiệp cho riêng mình là ước mơ của rất nhiều người. Nhưng phần lớn các doanh nghiệp nhỏ sau khi thành lập đều đi theo mô hình: - Thành
Mô tả: Nếu mục tiêu của bạn là tăng số lượng khách hàng thì Biến bất kỳ ai thành khách hàng chính là cuốn sách dành cho bạn. Tập trung hướng vào hàng loạt thủ
Quẳng Gánh Lo Đi Và Vui Sống là cuốn sách mà cái tên đã nói lên tất cả nội dung chuyển tải trên những trang giấy. Bất kỳ ai đang sống đều sẽ có những
Từ ngày ấy, Đắc Nhân Tâm trở thành cuốn sách không-chịu-nằm-yên-trên-kệ. Ngoài ý được tái bản liên tục ở khắp nơi trên thế giới, thì cụm từ này còn có một ý khác, đó là
Từ ngày ấy, Đắc Nhân Tâm trở thành cuốn sách không-chịu-nằm-yên-trên-kệ. Ngoài ý được tái bản liên tục ở khắp nơi trên thế giới, thì cụm từ này còn có một ý khác, đó là
BIẾN SUY NGHĨ THÀNH HÀNH ĐỘNG Bạn đã bao giờ tự hỏi tại sao một số người dường như lại dễ dàng có được mọi thứ trong khi những người khác thì không? Bạn có
👁️ 31 | ⌚2025-09-22 13:30:03.099


Đến từ tác giả sách The Little Black Book of Innovation, một cuốn cẩm nang mới hướng dẫn sử dụng sức mạnh của thói quen để xây dựng nền văn hóa đổi mới. Các nhà
Điện áp: 220V/50Hz Nguồn pin: 2000 mA.h Li-ion Công suất: 3W Chiếu sáng liên tục: 5 - 12 giờ - Sử dụng LED chất lượng cao, tuổi thọ và hiệu suất sáng cao - Vật
Cà Phê Sạch 100% - G20 Coffee Giới thiệu sản phẩm: Cà Phê Sạch 100% G20 Coffee là dòng sản phẩm tinh túy dành cho những người yêu cà phê thuần khiết. Được làm từ
Đồ Chơi Móc Khóa Squishy - Taba World 855001-6L - Chuột Hamster - Khám phá Móc khóa squishy – món đồ chơi gây sốt trên TikTok, ram và YouTube! - Với thiết kế đáng yêu,
Đồ Chơi Móc Khóa Squishy - Taba World 855011-6L - Gấu Koala - Khám phá Móc khóa squishy – món đồ chơi gây sốt trên TikTok, ram và YouTube! - Với thiết kế đáng yêu,
Đồ Chơi Móc Khóa Squishy - Taba World 855005-6L - Hoa Lê Trắng - Khám phá Móc khóa squishy – món đồ chơi gây sốt trên TikTok, ram và YouTube! - Với thiết kế đáng
Đồ Chơi Móc Khóa Squishy - Taba World 855007-6L - Bánh Donut - Khám phá Móc khóa squishy – món đồ chơi gây sốt trên TikTok, ram và YouTube! - Với thiết kế đáng yêu,
Đồ Chơi Móc Khóa Squishy - Taba World 855009-6L - Thỏ Con - Khám phá Móc khóa squishy – món đồ chơi gây sốt trên TikTok, ram và YouTube! - Với thiết kế đáng yêu,
Đồ Chơi Móc Khóa Squishy - Taba World 855003-6L - Cừu Con - Khám phá Móc khóa squishy – món đồ chơi gây sốt trên TikTok, ram và YouTube! - Với thiết kế đáng yêu,
Đồ Chơi Móc Khóa Squishy - Taba World 855008-6L - Đệm Chân Mini - Khám phá Móc khóa squishy – món đồ chơi gây sốt trên TikTok, ram và YouTube! - Với thiết kế đáng
Đồ Chơi Móc Khóa Squishy - Taba World 855010-6L - Gà Con - Khám phá Móc khóa squishy – món đồ chơi gây sốt trên TikTok, ram và YouTube! - Với thiết kế đáng yêu,
Đồ Chơi Móc Khóa Squishy - Taba World 855002-6L - Rùa Nhỏ - Khám phá Móc khóa squishy – món đồ chơi gây sốt trên TikTok, ram và YouTube! - Với thiết kế đáng yêu,
Đồ Chơi Móc Khóa Squishy - Taba World 855012-6L - Kem Ốc Quế - Khám phá Móc khóa squishy – món đồ chơi gây sốt trên TikTok, ram và YouTube! - Với thiết kế đáng
Đồ Chơi Móc Khóa Squishy - Taba World 855004-6L - Đệm Chân Mèo - Khám phá Móc khóa squishy – món đồ chơi gây sốt trên TikTok, ram và YouTube! - Với thiết kế đáng
Đồ Chơi Móc Khóa Squishy - Taba World 855006-6L - Gấu Trúc - Khám phá Móc khóa squishy – món đồ chơi gây sốt trên TikTok, ram và YouTube! - Với thiết kế đáng yêu,
Máy bơm chìm hồ cá công suất Thân máy bằng nhựa ABS rất chắc chắn giúp nâng cao tuổi thọ của máy. Chân đế cao su dạn hít giúp máy cố định không bị trơn
Đèn LED Âm trần Downlight 90/5W Model: AT04 90/5W Đặc tính của đèn Đường kính lỗ khoét trần 90 mm Nguồn điện danh định 220V/50Hz Vật liệu thân Nhôm Thông số điện Công suất 5
Bóng đèn LED BULB Trụ nhôm đúc 20W Model: TR80NĐ2/20W.H Đặc tính của đèn Đầu đèn E27 Nguồn điện danh định 220V/50Hz Góc chùm tia 180 độ Vật liệu Nhôm đúc Thông số điện Công
Máy bơm chìm hồ cá DH-388 công suất 15w + Cụm 12 đèn LED Thông số kỹ thuật: BƠM : HỒ CÁ MODEL : JK-388 LED ĐẦU RA : 13 MM HMAX : 150CM QMAX
Nếu đã hiểu nhau rồi, sao trông anh lạ thế? Học cách thấu cảm người khác Thấu cảm là khả năng nhìn thế giới bằng con mắt của người khác, đặt mình vào cuộc đời