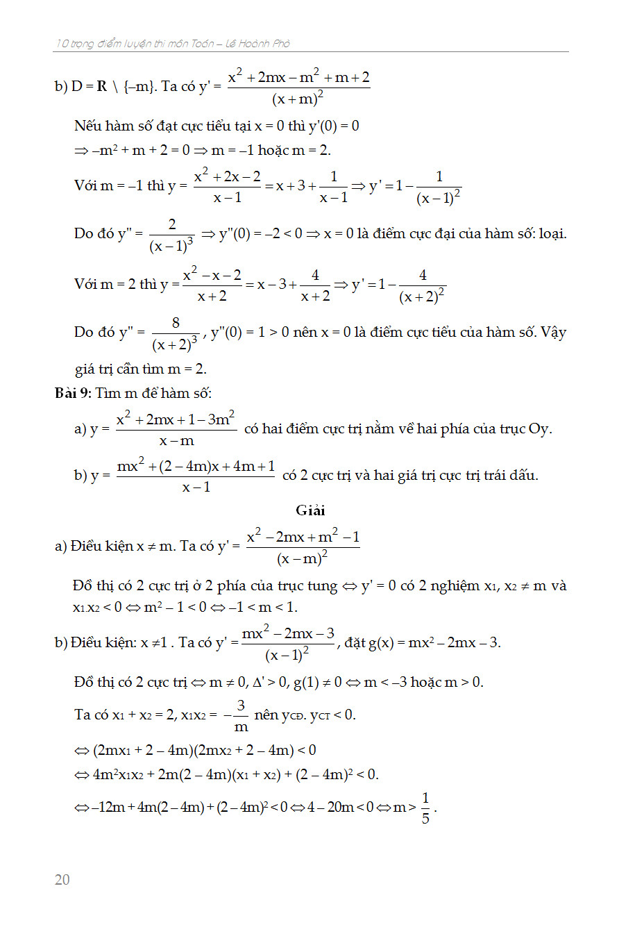
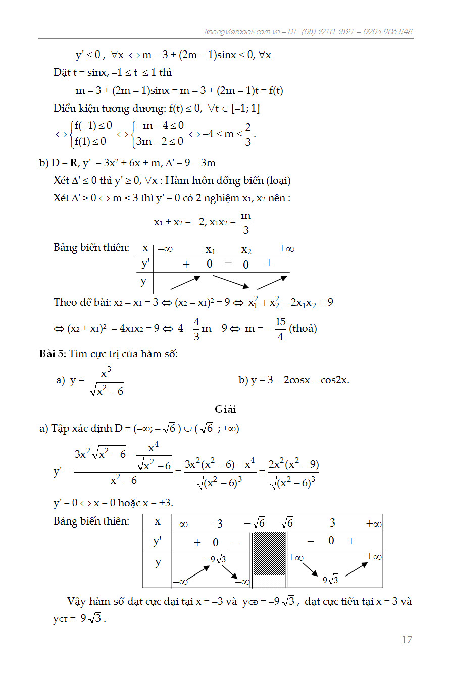
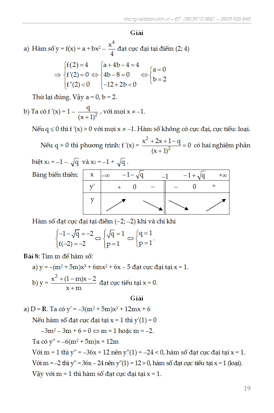
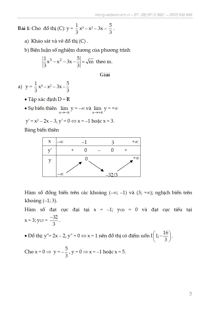
✨10 Trọng Điểm Luyện Thi THPT Quốc Gia Môn Toán _KV























10 Trọng Điểm Luyện Thi THPT Quốc Gia Môn Toán là một trong những cuốn mới nhất của thạc sĩ Lê Hoành Phò được biên soạn theo cấu trúc mới nhất, bám sát đề thi Đại Học - Cao Đẳng 2016 do phát hành. Quyển sách là kim chỉ nang các bí kíp giải bài tập Toán với những phương pháp cho các em rèn luyện trí tư duy và vận dụng lưu loát kỹ năng làm bài theo phương châm Nhanh, Chuẩn xác, tuyệt đối. Quyển sách gồm 10 trọng điểm tương ứng với 10 điểm tuyệt đối của bài thi môn Toán:
- Khảo sát hàm số
- Phương trình lượng giác
- Phương trình, hệ phương trình
- Nguyên hàm, tích phân
- Hình Học không gian
- Bất đẳng thức
- Tọa độ phẳng
- Tọa độ không gian
- Tổ hợp, chỉnh hợp, nhị thức Newton
- Số phức
10 Trọng Điểm Luyện Thi THPT Quốc Gia Môn Toán còn có thêm các đề tổng hợp từ các kỳ thi THPT năm 2015 và một số năm trước,đề thi thử của một số tỉnh thành, các trường chuyên và kì thi học sinh giỏi luyện thi để các em vận dụng.




Sách Tổng Ôn Vật Lí Tập 1 - Dành cho 2K7 1. Nội dung sách: Sách được viết dựa trên chương trình SGK mới với hơn 2000 câu hỏi bài tập 2. Đối tượng sử
Sinh học lớp 12 chương trình mới: Combo Tổng ôn sinh học ôn thi thpt quốc gia đgnl Moonbook - Hệ thống kiến thức và video bài giảng theo chương trình sách giáo khoa mới
Đỉnh cao của lãnh đạo là lãnh đạo chính bản thân mình", đây là quan điểm được TS Tô Nhật đúc rút. Cuốn sách được tác giả chia làm 2 phần, phần 1: Rèn luyện
OKRs – bí mật của tăng trưởng lấy trọng tâm là phương pháp OKRs (Mục tiêu – Kết quả then chốt) và truyền tải sinh động phương pháp thực hiện cũng như tình huống áp
Giải Mã Ngành Công Nghiệp Âm Nhạc ------------ Bạn có biết rằng: - Phần lớn các thỏa thuận thậm chí không yêu cầu công ty thu âm thực hiện một bản ghi âm, huống
Giải Mã Ngành Công Nghiệp Âm Nhạc ------------ Bạn có biết rằng: - Phần lớn các thỏa thuận thậm chí không yêu cầu công ty thu âm thực hiện một bản ghi âm, huống
Trí tuệ Do Thái là một cuốn sách tư duy đầy tham vọng trong việc nâng cao khả năng tự học tập, ghi nhớ và phân tích - những điều đã khiến người Do Thái
Chiến Thuật Giải Đề Đạt Điểm 10 Môn Tiếng Anh Kì Thi Trung Học Phổ Thông Quốc Gia Chiến thuật giải đề đạt điểm 10 môn tiếng Anh – Kì thi THPT QG là cuốn sách
Sách P.H.A.O Lịch sử Ôn luyện thi tốt nghiệp THPT, ĐGNL Biến việc học thành một cuộc phiêu lưu thú vị Bạn đang tìm kiếm một giải pháp nhớ nhanh lí thuyết, giúp bạn
- Bộ sách do đội ngũ tác giả bao gồm các chuyên gia, giảng viên Đại học, giáo viên THPT Chuyên – những người có kinh nghiệm, hiểu biết về kì thi và đã trực
Câu Hỏi Trắc Nghiệm Chuyên Đề Điền Từ Vào Đoạn Văn Tiếng Anh Cuốn sách Câu Hỏi Trắc Nghiệm Chuyên Đề Điền Từ Vào Đoạn Văn Tiếng Anh mang đến cho quý thầy cô giáo
MÔ TẢ SẢN PHẨM 1 Nội Dung : Ngôn ngữ là một trong những công cụ quan trọng giúp chúng ta giao tiếp. Và ngôn ngữ nào cũng vậy, từ ngữ, ý tứ, cùng với
SÁCH ĐỘT PHÁ TƯ DUY KÌ THI TỐT NGHIỆP THPT MÔN ĐỊA LÍ Theo cấu trúc định hướng thi mới năm 2025 của BGD Với cấu trúc đề thi mới, các dạng câu hỏi mới
Sách lý thuyết trọng tâm ôn thi THPT luyện thi đánh giá năng lực môn vật lý - Moonbook 1. Nội Dung : Trọng tâm lí thuyết tốt nghiệp phổ thông môn Vật lí”. Đúng
Nội dung gồm có: Phần thứ nhất: Câu hỏi và bài tập Chương 1: Đại cương hoá học hữu cơ Chương 2: Hidrocacbon no Chương 3: Hidrocacbon không no Chương 4: Hidrocacbon Thơm Chương 5:
Sách - Nâng cao Văn phong Nghị luận xã hội - Cô Trần Thùy Dương Tác giả Trần Thùy Dương Nhà xuất bản NXB Đại Học Quốc Gia Hà Nội Đơn vị phát hành NXB
Sách - Rèn kỹ năng xử lí và Chuyên sâu luyện đề môn Ngữ văn (Thi tốt nghiệp THPT chương trình GDPT 2018) Tác giả Trần Thùy Dương Nhà xuất bản NXB Đại Học Quốc
️ NỘI DUNG Cuốn sách được chia thành 3 phần: – Phần 1: giới thiệu chung về collocations và idioms, cũng như hệ thống một sốcollocations và idioms thường gặp. – Phần 2: hướng dẫn
Combo 2 cuốn Tổng Ôn Sinh Học Lớp 12 - Dành cho 2K7 1. Nội dung sách: + Nội dung bám sát chương trình GDPT năm 2018 dùng chung cho tất cả các bộ sách
Tổng Ôn Hoá Học Lớp 12 Tập 1 - Dành cho 2K7 1. Nội dung sách: Sách được viết dựa trên chương trình SGK mới với hơn 2000 câu hỏi bài tập 2. Đối tượng
I. Dẫn Chứng Nghị Luận Xã Hội : Nội dung sách Một bài văn Nghị luận xã hội nếu thiếu dẫn chứng thì mọi lý lẽ các bạn đưa ra đều trở nên vô nghĩa,
Tổng Ôn Hoá Học Lớp 12 Tập 1 - Dành cho 2K7 1. Nội dung sách: Sách được viết dựa trên chương trình SGK mới với hơn 2000 câu hỏi bài tập 2. Đối tượng
- Bộ sách do đội ngũ tác giả bao gồm các chuyên gia, giảng viên Đại học, giáo viên THPT Chuyên – những người có kinh nghiệm, hiểu biết về kì thi và đã trực
1. Tổng Ôn Toán Học - Tập 1 (Theo Chương Trình SGK Mới) - Hệ thống kiến thức và video bài giảng theo chương trình sách giáo khoa mới - Đầy đủ các dạng
Vật lý 12 Chương trình SGK mới: Tổng ôn vật lý ôn thi thpt quốc gia 2025, đánh giá năng lực Moonbook - Hệ thống kiến thức đầy đủ theo chương trình SGK mới -
Hoá học 12 Chương trình mới : Tổng ôn hoá học ôn thi thpt quốc gia 2026, dánh giá năng lực Moonbook - Hệ thống kiến thức và video bài giảng theo chương trình
Sách Bộ đề đánh giá năng lực Tiếng anh, ôn thi ĐGNL Hà Nội, HCM, Sư phạm HN 2025 - Moonbook Nội Dung : Kì thi Đánh giá Năng lực (ĐGNL) do các trường đại
P.H.A.O Ngữ Văn – Ôn luyện thi tốt nghiệp THPT, ĐGNL Biến việc học Ngữ văn thành một hành trình khám phá sắc màu cảm xúc và tư duy Bạn đang tìm kiếm một cuốn
Bộ 2 cuốn sách P.H.A.O Lịch sử Ôn luyện thi tốt nghiệp THPT, ĐGNL và Đột phá tư duy kì thi tốt nghiệp THPT môn Lịch sử Biến việc học thành một cuộc phiêu lưu
Sách Tổng ôn ngữ pháp Tiếng anh Cô Trang Anh là cuốn sách: - Đầy đủ nhất với 30 chuyên đề ngữ pháp Tiếng anh thông dụng nhất. - Dày 605 trang gần 7000 bài
Sách Tổng ôn từ vựng tiếng anh cô Trang Anh Moonbook 1. Nội Dung : Xét thấy theo chương trình sách giáo khoa mới với form đề thi mới đặc biệt chú trọng vào từ
Sách - Dẫn Chứng Nghị Luận Xã Hội (Cô Trần Thùy Dương) - Tác giả: Cô Trần Thùy Dương - Nhà xuất bản: NXB Đại Học Quốc Gia Hà Nội - Số Trang: 780 trang
MÔ TẢ SẢN PHẨM CAM KẾT VÀ BẢO HÀNH - Đảm bảo và cam kết sản phẩm đúng với mô tả và hình ảnh của shop. - Đổi trả sản phẩm miễn phí trong vòng
Sách - Luyện xử lý đề Bài văn nghị luận xã hội - Tập 1 (Cô Trần Thùy Dương) Tác giả: Trần Thùy Dương Nhà xuất bản: NXB Đại Học Quốc Gia Hà Nội Đơn
Sách - Rèn kỹ năng xử lí và Chuyên sâu Luyện đề Môn Ngữ văn - Thi Tốt nghiệp THPT Chương trình GDPT 2018 (Cô Trần Thùy Dương) Tác giả: Trần Thùy Dương Nhà xuất
Combo 2 Quyển Tổng Ôn Tập Hóa Hữu Cơ Và Tổng Ôn Tập Hóa Đại Cương Và Phi Kim 1.Tổng Ôn Tập Hóa Hữu Cơ Những năm qua Bộ Giáo dục và Đào
Phương Pháp Trắc Nghiệm - Giải Chi Tiết Các Chuyên Đề Quan Trọng Trong Hoá Học Trong những năm gần đây trong đề thi THPT Quốc gia môn Hóa học xuất hiện khá nhiều các
Tổng Ôn Tập Các Chuyên Đề Tiếng Anh của tác giả Lưu Hoằng Trí được biên soạn theo 6 chuyên đề: - Chuyên đề 1: Ngữ âm - Chuyên đề 2: Từ vựng - Chuyên đề
Kỳ thi THPT quốc gia bộ môn Vật Lí ngày càng khó hơn và nâng cao hơn với kiến thức rộng hơn bao gồm cả lớp 10-11-12. Chính vì lý do đó nhiều học sinh
Tuyển Tập Olympic Toán Học Tại Các Nước Đông Âu Cuốn sách còn giới thiệu thêm một số bài toán trên các tạp chí như tạp chí Komal, một số cuộc thi liên quốc gia như
MÔ TẢ SẢN PHẨM - WHAT MỘT SỐ THÔNG SỐ SẢN PHẨM Thông số Giá trị Tên sản phẩm CC Thần tốc luyện đề 2022 (Chinh phục kì thi tốt nghiệp THPT và thi vào
Tốc Chiến Luyện Đề Đánh Giá Tư Duy (Theo cấu trúc đề thi của Đại học Bách Khoa Hà Nội) 1. Định nghĩa Là cuốn sách giúp học sinh hệ thống kiến thức, kỹ
Thầy K là một thầy giáo dạy violin gốc Ukraina. Thầy đã trải qua một cuộc đời tuổi trẻ sóng gió ở đất nước của thầy với những sự khốc liệt của chiến tranh và
10 Trọng Điểm Luyện Thi THPT Quốc Gia Môn Toán là một trong những cuốn mới nhất của thạc sĩ Lê Hoành Phò được biên soạn theo cấu trúc mới nhất, bám sát đề thi Đại Học
Năng lượng ngày mới: Nước Với Năng lượng ngày mới: Nước, các bạn nhỏ sẽ được tìm hiểu tất tần tật về Nước, tại sao ta cần uống nước, uống bao nhiêu nước mỗi ngày
Năng Lượng Ngày Mới: Thức Ăn Với Năng Lượng Ngày Mới: Thức Ăn, các bạn nhỏ sẽ được tìm hiểu tất tần tật về thức ăn, quá trình hấp thụ và tiêu hóa thức ăn,
Năng Lượng Ngày Mới: Giấc Ngủ Năng lượng ngày mới là bộ sách phù hợp cho các bạn nhỏ từ 4 tuổi. Ở lứa tuổi này, hẳn các bố mẹ đều đau đầu với việc
Nội dung sách bám sát chương trình THPT, nhất là năm lớp 12. Đây thực sự là cuốn sách bổ ích cho các em học sinh trong quá trình học tập cũng như ôn
The Phoenix Project: Dự Án Phượng Hoàng (*** Sách Bản Quyền ***) Công Ty Phát Hành: Alpha Books — Câu chuyện về DevOps và chìa khóa thành công cho mọi doanh nghiệp công nghệ — ------------
22 Đề Thi Trắc Nghiệm Môn Địa Lí Vào tháng 10/2016 Bộ Giáo dục và Đào Tạo đã công bố đề thi minh họa cho kì thi THPT Quốc gia 2017. Và môn Địa
Tổng Ôn Hoá Học Lớp 12 Tập 1 - Dành cho 2K7 1. Nội dung sách: Sách được viết dựa trên chương trình SGK mới với hơn 2000 câu hỏi bài tập 2. Đối tượng
Bắt đầu từ năm học 2024 – 2025, các em học sinh lớp 12 sẽ tham gia kì thi tốt nghiệp THPT theo Chương trình giáo dục phổ thông mới với nội dung và cấu trúc
Luyện Thi Tốt Nghiệp THPT Theo Hướng Đánh Giá Năng Lực Môn Lịch Sử (Dùng Chung Cho Các Bộ SGK Hiện Hành) Bắt đầu từ năm học 2024 – 2025, Bộ Giáo dục và Đào
Cảm Nhận, Phân Tích Tác Phẩm Văn Học Ngoài Sách Giáo Khoa Ngữ Văn THPT - Tác Phẩm Thơ & Truyện (Dùng Chung Cho Các Bộ SGK Hiện Hành) Trên tay các
Trắc Nghiệm Đúng, Sai - Câu Trả Lời Ngắn Theo Chuyên Đề Môn Hóa Học (Luyện Thi THPT Quốc Gia Theo Cấu Trúc Đề Thi Năm 2025) Bắt đầu từ năm 2025, trong đề
Trong các đề thi tốt nghiệp phổ thông quốc gia môn của các năm gần đây thường có 7 - 10 câu hỏi khó. Để giải quyết các câu hỏi đó, các em cần phải nắm
Tài Liệu Tổng Ôn Tập Luyện Thi Trắc Nghiệm Hóa Học - Hóa Hữu Cơ (Tái Bản) Cuốn sách được tác giả Cao Cự Giác biên soạn giúp các bạn giải quyết những vấn đề
Combo Phân Tích Bảng Số Liệu Vẽ Biểu Đồ, Lược Đồ Việt Nam - Đọc Atlat Địa Lí + Câu Hỏi Và Bài Tập Kĩ Năng Atlat Địa Lí Việt Nam (Bộ 2 Cuốn)
👁️ 167 | ⌚2025-10-02 03:26:04.192
Video Youtube
Video Youtube
Video Youtube
Video Youtube
Video Youtube
Video Youtube

Video Youtube
Video Youtube
Video Youtube
Video Youtube
Video Youtube
Video Youtube

Vừa Mở Lời Đã Gây Thiện Cảm Nhà xuất bản : Nhà Xuất Bản Thanh Niên. Công ty phát hành : Mintbooks. Tác giả : Giang Phong. Kích thước : 20.5 x 14.5 x 1.4
Khám Phá Và Chữa Lành 16 Kiểu Tính Cách Qua MBTI Bạn thuộc kiểu tính cách nào, hướng nội hay hướng ngoại, mơ mộng hay thực tế? Bạn sống lí trí hay cảm xúc, bạn
Bước Vào Cửa Hiệu Nhiệm Màu ------------ BƯỚC VÀO CỬA HIỆU NHIỆM MÀU - CÂU CHUYỆN KỲ DIỆU VỀ CUỘC ĐỜI CỦA MỘT BÁC SĨ PHẪU THUẬT THẦN KINH Có gì trong “Bước vào
Bước Vào Cửa Hiệu Nhiệm Màu ------------ BƯỚC VÀO CỬA HIỆU NHIỆM MÀU - CÂU CHUYỆN KỲ DIỆU VỀ CUỘC ĐỜI CỦA MỘT BÁC SĨ PHẪU THUẬT THẦN KINH Có gì trong “Bước vào
Bạn muốn hoàn thành KPI công việc? Bạn muốn giảm cân? Bạn muốn cân bằng giữa công việc và cuộc sống? Bạn muốn đạt được tự do tài chính? Việc thực hiện mọi mục tiêu
6 Phát Minh Làm Nên Thời Đại Đây là một cuốn sách ngắn, khá dễ đọc, thú vị và đầy thách thức với những điều kỳ diệu mỗi ngày quanh ta. Tác giả Steven Johnson
Sách - Just Do It: Đừng Nói Hãy Hành Động, Đừng Hứa Hãy Chứng Minh - Đưa Ước Mơ Vào Hiện thực - Bizbooks của Trâu Tiểu Cường là cuốn sách truyền cảm hứng mạnh
THÔNG TIN TÁC PHẨM Tên tác phẩm: Lời Chỉ Dẫn Của Vũ Trụ - Để Vũ Trụ Cùng Bạn Quyết Định Tác giả: Chiu Healing Thể loại: Kỹ năng Thương hiệu: Timebooks Nhà xuất
NƯỚC XẢ VẢI MAXPURE LƯU HƯƠNG SUỐT NHIỀU TUẦN KHÔNG PHAI MÙI Tạo lớp màng mềm mượt bao phủ sợi vải khiến cho quần áo mềm mại hơn sau khi giặt. Giúp cho sản phẩm
Thương hiệu Rạng Đông uy tín tin cậy được khẳng định bởi người tiêu dùng Việt Nam và quốc tế Shop thương hiệu Rạng Đông uy tín, tin cậy Dải điện áp hoạt động: (150V
- Bạn muốn rửa xe nhưng không muốn xách nước. - Bạn muốn tưới cây nhưng không hài lòng với vòi phun yếu. - Bạn muốn vệ sinh sạch sẽ nền nhà, tường, sân, cửa
Shop thương hiệu Rạng Đông uy tín, tin cậy Model: AT10L ĐM 90/7W - Viền mạ vàng Dải điện áp hoạt động: (150 - 220VAC)/50Hz Quang thông: Sáng trắng 550lm /Sáng vàng 470lm/ Sáng trung
Đừng Ném Giấc Mơ Của Mình Vào Thùng Rác
Số 8 phố Petofi I. Giới Thiệu Sách Số 8 Phố Petőfi Tác phẩm nằm trong Bộ sách thiếu nhi quốc tế – Tuổi thơ tươi đẹp, là sáng tác của nhà văn nổi tiếng
Triết học của Spinoza là một trong những nỗ lực triệt để nhất nhằm xây dựng một bản thể học thuần túy bằng một chất vô hạn duy nhất. Cuốn sách này, trình bày những
Lãnh trấn đẫm máu I. Giới Thiệu Sách Mô tả sản phẩm "Tana sống trong một thề giới tồn tại những thành phố bị bao quanh bởi những tường thành vững chắc. Người ta gọi
6 Phát Minh Làm Nên Thời Đại Steven Johnson đích thực là chuyên gia bậc thầy của lịch sử ý tưởng. Trong cuốn sách này, ông chỉ tập trung vào sáu công nghệ và khám
Deena Kastor là một ngôi sao trẻ chạy đường dài người Mỹ được đặt nhiều kỳ vọng. Nhưng với phương pháp chạy hết sức vì sợ thua cuộc đã khiến cô bị kiệt sức và
Sự Trỗi Dậy Của Phái Đẹp ------------ Các nhà nữ quyền luôn than vãn rằng phụ nữ đang bị đối xử bất bình đẳng trong mọi môi trường làm việc. Kẻ bị kết án
Tác giả: Nguyễn Huy Tưởng Khổ sách: 14x20 Số trang: 408 Giá bán: 165,000 VNĐ ISBN: 978-604-1-25344-5 In lần thứ 1 năm 2024 NXB: NXB Trẻ NPH: NXB Trẻ Giới thiệu tóm tắt tác phẩm: